
產品介紹 | PRODUCTS

聯系我們 | CONTACT US
- 銷售熱線:
- 銷售熱線:
您所在的位置首頁 >>
產品介紹 >>
有機膦系列阻垢緩蝕劑、螯合劑 >>
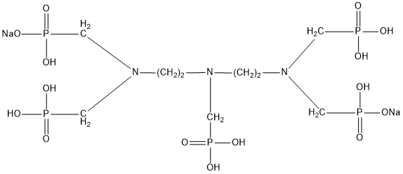
二乙烯三胺五甲叉膦酸鈉 DTPMP·Na2產品介紹
二乙烯三胺五甲叉膦酸鈉 DTPMP·Na2
CAS No.22042-96-2 分子式 C9H26O15N3P5Na2
結構式
一、性能與用途
DTPMP·Na2由DTPMP的不同形式鈉鹽組成,DTPMP·Na2可用作阻垢劑、高效螯合劑、優良的BaSO4阻垢劑,廣泛用于冷卻水處理、過氧化物漂白的穩定劑、洗滌助劑、市政工業清潔用水、地熱水處理、油田阻垢。
二、技術指標
項 目 | 指 標 |
外 觀 | 紅棕色透明液體 |
活性組分(以DTPMPA計)/% | 45.0~49.0 |
總磷(以PO43-計)/% | 37.0~40.0 |
pH值(1%水溶液) | 2.0~3.0 |
密度(20℃)/g·cm-3 | 1.37~1.47 |
氯化物 (以Cl-計) /% | ≤5.0 |
Fe含量(以Fe計) /mg·L-1 | ≤20.0 |
三、包裝與貯存
DTPMP·Na2用塑料桶包裝,每桶30kg 或(huo)250kg,也可根據(ju)用戶需要確定。貯(zhu)于室(shi)內陰涼處,貯(zhu)存(cun)期十個月。
四、安全防護
DTPMP·Na2為弱酸性,操作時注意勞動(dong)保護,應避免與(yu)皮膚、眼睛等接觸,接觸后用(yong)大量清水沖洗(xi)。
銷售熱線: 銷售傳真:
地址:山東省棗莊市市中區十里泉東路1號 網址://www.ringboss.cn E-mail:
版權所有© :2006-2021 山東泰和科技股份有限公司 魯ICP備09091669號-43
地址:山東省棗莊市市中區十里泉東路1號 網址://www.ringboss.cn E-mail:
版權所有© :2006-2021 山東泰和科技股份有限公司 魯ICP備09091669號-43